Our quantum processor brings together a large collection of systems, each precisely tuned to manipulate the fragile entanglement encoded in neutral atoms. These systems are co-designed together with hardware, software, and algorithms to achieve the greatest performance at scale.
- Modular systems for easy deployment, calibration, and upgrades
- designed to achieve greatest stability.
Learn more about our technology:
Engineering a Quantum Information Processing Platform
We develop modular systems for easy deployment, calibration, and upgrades.
Compact, portable, ultra-high vacuum system with integrated source of atoms for preparing clouds of cold atoms
This system enables preparing clouds of cold atoms with fast loading rates and a long vacuum lifetime, all within a glass chamber for operation at room temperature and compatibility with microscopy systems.
High-resolution microscopy system with sensitive camera
This microscopy system creates tightly-focused laser beams that act as optical traps for individual atoms, offering high-resolution capabilities for precise control and observation. It can image individual atoms on a sensitive camera without losing them, essential for extracting their microscopic quantum state and implementing feedback control protocols.
Fast-switching magnetic field gradient and compensation coils
These coils enable trapping and cooling atoms in a three-dimensional magneto-optical trap as well as applying bias fields along any arbitrary direction.
Ultra-stable, high-power laser systems stabilized to an external cavity
These lasers perform high-fidelity quantum gates, providing the necessary stability and power to maintain quantum coherence and accuracy.
Some of the wavelengths we use in the lab are:
420 nm
Coherent excitation to a Rydberg state
780 nm
Cooling and imaging
795 nm
Single qubit gate
813 nm
Trapping of ground-state atoms
840 nm
Atom-selective detuning
1013 nm
Coherent excitation to a Rydberg state
Solutions to Enhance our Quantum Platform
Our solutions are designed to improve the performance and flexibility of our quantum processor.
Diffractive Optical Elements to Create Large Arrays of Optical Traps
Programmable two-dimensional light patterns
This system uses spatial light modulators (SLMs) to generate two-dimensional light sheets for homogeneous excitation of atoms to a Rydberg state and create two-dimensional arrays of optical traps with arbitrary geometry such as chains, rings, lattices, and other exotic structures. It includes phase mask generation, optical aberration correction, and real-time trap depth stabilization.
Dynamic site-selective addressing
This system utilizes acousto-optic deflectors (AODs) to create large, homogeneous arrays of optical traps, enabling the trapping, displacement, and selective generation of quantum gates on individual atoms.
Preparation of defect-free configurations of atoms using low-latency reconfiguration system (LLRS)
This system enables preparing two-dimensional configurations of atoms with arbitrary geometry. It is based on a modular motherboard architecture compatible with GPUs.
Closed-loop uniformization and stabilization of trap depth
This system uses active optical diffractive elements to homogenize and stabilize trap depth, creating large, dynamic arrays of optical traps for versatile atom manipulation.
Algorithms
Our algorithms drive the precision and efficiency of our quantum processor, solving complex problems in both classical and quantum realms.
Efficient Reconfiguration Algorithms
These algorithms solve atom reconfiguration problems quickly and robustly, ensuring optimal performance under realistic noise conditions. We focus on the development of exact, approximation, and heuristic algorithms, as well as their efficient implementation on CPUs and GPUs.
The redistribution-reconfiguration (red-rec) heuristic algorithm assembles a compact-centered configuration of atoms on grids, by breaking the problem down into a sequence of simpler problems on individual or pairs of columns.
Read the paper here
The assignment-rerouting-ordering (aro) algorithm assembles an arbitrary of atoms by three subroutines:
- Assignment subroutine- Exactly minimizes the number of displacement operations
- Rerouting subroutine – Reduces the number of displaced atoms
- Ordering subroutine – guarantees each atom moves at least once
Read the paper here
Fast, efficient, and robust quantum gates
These gates use optimal control theory to protect quantum coherence and prevent information loss, even in the presence of disturbances.
Our optimal control framework is based on adiabatic quantum evolution, and computes control operations to:
- Maximize target state preparation fidelity
- Minimize gate time, infidelity, and sensitivity to noise
- Satisfy hardware limitations
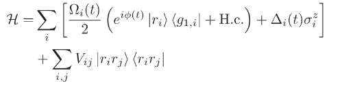
Quantum algorithms for Hamiltonian simulation
These algorithms simulate Hamiltonian dynamics, enabling precise modeling and control of quantum systems. We are specifically interested in studying dynamical phenomena, such as the transport of spin excitations on chains, rings, and arbitrary two-dimensional spin networks.